Journal of Henan Agricultural Sciences ›› 2026, Vol. 55 ›› Issue (3): 71-86.DOI: 10.15933/j.cnki.1004-3268.2026.03.008

• Agricultural Resources and Environment • Previous Articles     Next Articles

Effects of Reclaimed Water and Yellow River Water Irrigation on Soil Environment and Maize Growth in Irrigation Districts along the Yellow River,Ningxia

ZHOU Zhixuan1,2,3,YANG Yingpan1,2,3,WANG Yongping1,2,3,MA Xiuxia1,2,3   

  1. (1.Hydraulic Research Institute of Ningxia Hui Autonomous Region,Yinchuan 750021,China;2.Yellow River Irrigation District of Ningxia Agricultural Irrigation Field Observation and Research Station,Ministry of Water Resources,Yinchuan 750021,China;3.Ningxia Dry Farming,Water Saving and Efficient Agricultural Engineering Technology Research Center,Yinchuan 750021,China)
  • Received:2026-01-06 Published:2026-03-15 Online:2026-03-27

再生水与黄河水灌溉对宁夏引黄灌区土壤环境及玉米生长的影响

周志轩1,2,3,杨莹攀1,2,3,王永平1,2,3,马秀霞1,2,3   

  1. (1.宁夏回族自治区水利科学研究院,宁夏 银川 750021;2.水利部宁夏引黄灌区农业灌溉野外科学观测研究站,宁夏 银川 750021;3.宁夏旱作节水高效农业工程技术研究中心,宁夏 银川 750021)
  • 通讯作者: 杨莹攀,助理研究员,博士,主要从事农业水土资源高效利用研究。E-mail:ypan312@163.com
  • 作者简介:周志轩,高级工程师,硕士,主要从事水资源与水环境研究。E-mail:zzx1025@163.com
  • 基金资助:
    国家自然科学基金联合基金项目(U24A20571)

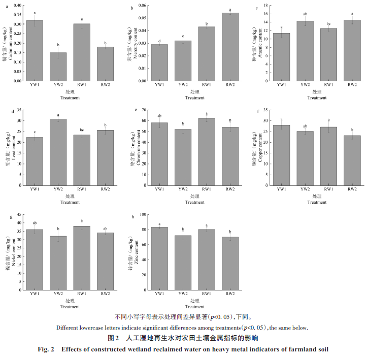
Abstract: To clarify the safe and efficient utilization mode of reclaimed water in the Ningxia Yellow River irrigation district and alleviate the shortage of agricultural water resources,a two⁃factor completely randomized design was adopted in this study. We investigated the effects of two water sources,namely Yellow River water(Y)and reclaimed water from constructed wetlands(R),and two irrigation regimes on soil environmental quality and maize growth. The irrigation regimes were defined as:W1(irrigation quota of 1 800 m³/ha with two irrigation events) and W2(irrigation quota of 1 200 m³/ha with three irrigation events).The TOPSIS(technique for order preference by similarity to ideal solution)model was employed to screen the optimal irrigation mode.The results showed that irrigation regimes had a significant impact on the accumulation of soil heavy metals;specifically,the W2 treatment significantly reduced soil cadmium and zinc contents compared to W1,and reclaimed water irrigation performed comparably to Yellow River water in controlling cadmium and zinc.Furthermore,the W2 treatment significantly increased soil cation exchange capacity and total phosphorus content,thereby enhancing soil fertility preservation and supply capabilities. In terms of promoting maize growth,increasing yield,and improving water use efficiency,reclaimed water irrigation proved superior to Yellow River water.The yield of RW1 treatment was 4.11% higher than that of YW1 treatment,and the yield of RW2 treatment was 6.77% higher than that of YW2 treatment,with an an irrigation water use efficiency of 5.12 kg/m³. Regarding maize quality,the YW2 treatment increased protein and fat contents by 21.52% and 21.62%,respectively,compared to YW1;similarly,the RW2 treatment increased protein and fat contents by 17.58% and 44.44%,respectively,compared to RW1. Pearson correlation analysis indicated that soil pH value,total salt content,total nitrogen content,copper content and zinc content were the core factors influencing maize yield and quality.The TOPSIS comprehensive evaluation revealed that the RW2 treatment achieved the highest score,identifying it as the optimal irrigation mode.In summary,RW2(reclaimed water combined with an irrigation quota of 1 200 m3/hm2 and three irrigation times)is the suitable model for the safe and efficient utilization of water resources in the Yellow River irrigation district of Ningxia.

Key words: Maize, Reclaimed water, Yellow River irrigation district, Irrigation regime, Soil indicator

摘要: 为明确再生水在宁夏引黄灌区的安全高效利用模式,缓解农业水资源短缺,采用两因素完全随机设计,研究黄河水(Y)与人工湿地再生水(R)2种水源,灌水定额1 800 m3/hm2、灌水2次(W1)与灌水定额1 200 m3/hm2、灌水3次(W2)2种灌溉制度对土壤环境及玉米生长的影响,基于TOPSIS(逼近理想解排序法)模型筛选最优灌溉模式。结果表明,灌溉制度对土壤重金属累积影响显著,W2处理较W1可显著降低土壤镉、锌含量,再生水灌溉在镉、锌含量控制上与黄河水相当;W2处理可显著提升土壤阳离子交换量和全磷含量,增强土壤保肥供肥能力。再生水灌溉在促进玉米生长、提升产量和灌溉水利用效率方面优于黄河水,RW1 处理产量较YW1 处理显著提高4.11%,RW2 处理较YW2 处理产量显著提高6.77%,灌溉水利用效率达5.12 kg/m3。YW2处理蛋白质含量较YW1处理提升21.52%,脂肪含量较YW1处理提升21.62%;RW2处理蛋白质含量较RW1处理提升17.58%,脂肪含量提升44.44%。Pearson相关性分析结果表明,土壤pH值、全盐量、全氮含量及铜、锌等重金属元素含量是影响玉米产量品质的核心因子。TOPSIS综合评价得出RW2得分最高,为最优灌溉模式。综上,RW2(再生水搭配灌水定额1 200 m3/hm2、灌水3次)为宁夏引黄灌区水资源安全高效利用的适宜模式。

关键词: 玉米, 再生水, 引黄灌区, 灌溉制度, 土壤指标

CLC Number: