河南农业科学 ›› 2026, Vol. 55 ›› Issue (2): 70-79.DOI: 10.15933/j.cnki.1004-3268.2026.02.008

• 农业资源与环境 • 上一篇    下一篇

花生饼和蚯蚓粪配施对烤烟产量、品质及土壤特性的影响

程培军1,徐敏2,李亮1,索炎炎1,郝浩浩2,张翔1,唐培培2,王迅2,郭传滨2,许晓敬2,徐凤丹1,吴俊林2,陈中尚2,苗森2
  

  1. (1.河南省农业科学院 植物营养与资源环境研究所/河南省农业资源与环境重点实验室,河南 郑州 450002;2.河南省烟草公司 驻马店市公司,河南 驻马店 463000)
  • 收稿日期:2025-06-18 接受日期:2025-08-06 出版日期:2026-02-15 发布日期:2026-03-09
  • 通讯作者: 徐敏,高级农艺师,硕士,主要从事烟草栽培技术研究与推广工作。E-mail:280303203@qq.com 郝浩浩,农艺师,硕士,主要从事烟草生产技术研究。E-mail:haohh108@126.com
  • 作者简介:程培军,助理研究员,硕士,主要从事经济作物施肥管理研究。E-mail:cpjzw101@163.com
  • 基金资助:
    河南省烟草总公司驻马店市公司技术创新项目(2023411700200038);河南省农业科学院创新团队项目(2024TD10)

Effects of Combined Application of Peanut Cake and Vermicompost on Yield,Quality and Soil Properties of Flue‑Cured Tobacco

CHENG Peijun1,XU Min2,LI Liang1,SUO Yanyan1,HAO Haohao2,ZHANG Xiang1,TANG Peipei2,WANG Xun2,GUO Chuanbin2,XU Xiaojing2,XU Fengdan1,WU Junlin2,CHEN Zhongshang2,MIAO Sen2   

  1. (1.Institute of Plant Nutrition and Agricultural Resources and Environmental Science,Henan Academy of Agricultural Sciences/Henan Key Laboratory of Agricultural Resources and Environment,Zhengzhou 450002,China;2.Zhumadian Prefecture Branch of Henan Tobacco Company,Zhumadian 463000,China)
  • Received:2025-06-18 Accepted:2025-08-06 Published:2026-02-15 Online:2026-03-09

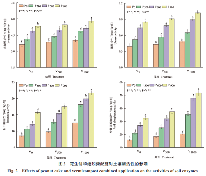
摘要: 为了探讨花生饼和蚯蚓粪配施对烤烟产量、品质及土壤特性的影响,明确改良烟田土壤和提高烤烟产量、品质适宜的施肥模式,设置4个花生饼水平(0、300、600、900 kg/hm2,依次编号P0、P300、P600、P900)、3个蚯蚓粪水平(0、500、1 000 kg/hm2,依次编号V0、V500、V1000),共12个处理开展大田试验,在采收结束时测定土壤微生物数量、酶活性和养分含量,烤烟经济性状、化学成分和外观质量。结果表明,蚯蚓粪相同用量下,在花生饼用量为0~900 kg/hm2时,随着花生饼施用量增加,土壤细菌、真菌和放线菌数量,土壤蔗糖酶、脲酶、蛋白酶和酸性磷酸酶活性,土壤碱解氮、有效磷和速效钾含量显著增加,施花生饼较不施花生饼分别平均显著提高了26.0%、32.8%、24.7%,32.2%、75.8%、50.6%、69.2%,17.6%、13.1%、19.1%。花生饼相同用量下,随蚯蚓粪施用量增加,土壤细菌、真菌和放线菌数量,土壤蔗糖酶、脲酶、蛋白酶和酸性磷酸酶活性,土壤碱解氮、有效磷和速效钾含量亦呈现增加趋势,施蚯蚓粪较不施蚯蚓粪分别平均显著提高了14.9%、10.3%、16.9%,7.1%、14.1%、36.0%、39.5%,7.6%、6.4%、6.2%。施花生饼和蚯蚓粪均能改善烤烟化学成分和外观质量,提高烤烟产量,但施用效果受蚯蚓粪施用量的影响。在不施蚯蚓粪(V0)条件下,施花生饼较不施花生饼烤烟平均增产15.8%;在施蚯蚓粪(V500、V1000)条件下,施花生饼较不施花生饼烤烟平均增产为22.2%。综上,施花生饼和蚯蚓粪均能提高土壤微生物数量、酶活性和养分含量,改善烤烟化学成分和外观质量,提高烤烟产量,以蚯蚓粪1 000 kg/hm2+花生饼600 kg/hm2配施效果最佳。

关键词: 烤烟, 花生饼, 蚯蚓粪, 产量, 品质, 土壤改良

Abstract: In order to explore the effects of peanut cake and vermicompost combined application on the yield,quality and soil characteristics of flue‑cured tobacco,and to clarify the suitable fertilization mode for improving tobacco field soil and enhancing flue‑cured tobacco yield and quality,a field experiment was conducted with 12 treatments,including 4 levels of peanut cake(0,300,600,900 kg/ha,numbered P0,P300,P600,P900)and 3 levels of vermicompost(0,500,1 000 kg/ha,numbered V0,V500,V1000).Soil microbial quantity,enzyme activity,and nutrient content,as well as economic traits,chemical components,and appearance quality of flue‑cured tobacco were measured at the end of the curing period.The results showed that under the same amount of vermicompost,the amount of bacteria,fungi and actinomycetes in soil,the activities of invertase,urease,protease and acid phosphatase,and the contents of alkali hydrolyzable nitrogen,available phosphorus and available potassium in soil increased significantly with the application of peanut cake in the range of 0—900 kg/ha.Compared to no application of peanut cake,the application of peanut cake resulted in average significant increases of 26.0%,32.8%,and 24.7% for soil microorganisms,32.2%,75.8%,50.6%,and 69.2% for soil enzyme activities,and 17.6%,13.1%,and 19.1% for soil nutrient contents,respectively.Under the same dosage of peanut cake,the amount of bacteria,fungi and actinomycetes in soil,as well as the activities of invertase,urease,protease and acid phosphatase in soil,and the contents of alkali hydrolyzable nitrogen,available phosphorus and available potassium in soil also showed an increasing trend with the increase in vermicompost. Compared to no application of vermicompost,the application of vermicompost resulted in average significant increases of 14.9%,10.3%,and 16.9% for soil microorganisms,7.1%,14.1%,36.0%,and 39.5% for soil enzyme activities,and 7.6%,6.4%,and 6.2% for soil nutrient contents,respectively. Both peanut cake and vermicompost could improve the chemical components and appearance quality of flue‑cured tobacco and increase its yield,but the application effect was influenced by the amount of vermicompost applied. Under the condition of no vermicompost application(V0),the average yield of flue‑cured tobacco with peanut cake application increased by 15.8% compared to no peanut cake application;under the condition of applying vermicompost(V500,V1000),the average yield increase of flue‑cured tobacco with peanut cake application was 22.2% compared to no peanut cake application. In summary,the application of both peanut cake and vermicompost can increase soil microbial population,enzyme activity,and nutrient content,improve the chemical composition and appearance quality of flue‑cured tobacco,and enhance tobacco yield.The best effect is achieved by the combination of 1 000 kg/ha vermicompost and 600 kg/ha peanut cake.

Key words: Flue?cured tobacco, Peanut cake, Vermicompost, Yield, Quality, Soil amendment

中图分类号: