Journal of Henan Agricultural Sciences ›› 2025, Vol. 54 ›› Issue (10): 71-80.DOI: 10.15933/j.cnki.1004-3268.2025.10.008

• Crop Cultivation & Genetic Breeding • Previous Articles     Next Articles

Isolation,Identification and Effect Evaluation of Two Growth‐promoting Endophytic Bacteria in Salvia miltiorrhiza Roots

WANG Fei1,YANG Jin1,LI Xuemeng1,WEN Yi1,GAO Suxia1,QIN Yanhong1,LU Shuhao1,ZHAO Ying2,SONG Luyang2,YANG Jian3,WAN Xiufu3,LI Shaojian1   

  1. (1.Institute of Plant Protection,Henan Academy of Agricultural Sciences,Zhengzhou 450002,China;2.College of Plant Protection,Henan Agricultural University,Zhengzhou 450046,China;3.National Resource Center for Chinese Materia Medica,China Academy of Chinese Medical Sciences,Beijing 100700,China)
  • Received:2024-10-22 Accepted:2024-12-06 Published:2025-10-15 Online:2025-10-16

2 株丹参根内促生细菌的分离鉴定及促生作用评价

王飞1,杨瑾1,李雪梦1,文艺1,高素霞1,秦艳红1,鲁书豪1,赵莹2,宋露洋2,杨健3,万修福3,李绍建1
  

  1. (1.河南省农业科学院 植物保护研究所,河南 郑州 450002;2.河南农业大学 植物保护学院,河南 郑州 450046;3.中国中医科学院 中药资源中心,北京 100700)
  • 通讯作者: 李绍建(1986-),男,山东潍坊人,副研究员,博士,主要从事药用植物保护研究。E-mail:lishaojianli@126.com
  • 作者简介:王飞(1981-),男,河南南召人,副研究员,在读博士研究生,主要从事药用植物保护研究。E-mail:yunfeiren@163.com。杨瑾为同等贡献作者
  • 基金资助:
    国家中药材产业技术体系项目(CARS-21);河南省中药材产业技术体系项目(HARS-22-11-Z1);河南省农业科学院新兴
    学科项目(2024XK06)

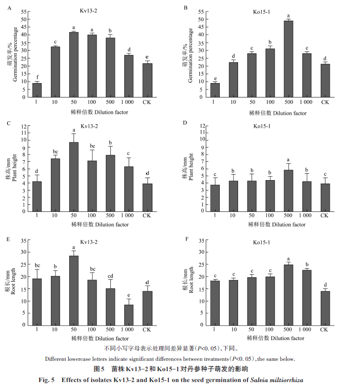
Abstract: In order to obtain endophytic bacteria to promote growth and increase the yield of Salvia miltiorrhizae,two endophytic bacteria strains Kv13‐2 and Ko15‐1 with growth‐promoting effects were isolated and screened from the healthy roots of S.miltiorrhiza by tissue grinding and culture.Based on morphological and molecular biological analysis,isolates Kv13‐2 and Ko15‐1 were identified as Klebsiella variicola and Kosakonia oryzae,respectively.The results of biomass promotion test showed that isolates Kv13‐2 and Ko15‐1 could produce indole‐3‐acetic acid(IAA),and had the characteristics of phosphorus solubilization,potassium solubilization,and nitrogen fixation. The results of the seed germination experiment showed that at appropriate concentrations,inoculation with bacterial suspensions of Kv13‐2 and Ko15‐1 increased the germination rate of S.miltiorrhiza seeds by 92.38% and 129.72%,the plant height by 148.72% and 48.72%,and the root length by 102.86% and 90.02%,respectively.Pot experiment results showed that root irrigation with isolates Kv13‐2 and Ko15‐1 increased the fresh weight of S.miltiorrhiza stems and leaves by 200. 00% and 104.48%,respectively,and the fresh weight of roots by 57.89% and 34.74%,respectively.The results of field experiments demonstrated that root irrigation with the two growth‐promoting bacterial suspensions increased root length by 18.03% and 10.97%,root diameter by 7.69% and 0.75%,lateral root number by 11.17% and 24.63%,and yield by 16.43% and 24.80%,respectively.In addition,the two growth‐prompting isolates could also significantly reduce the incidence and disease index of S.miltiorrhiza root rot,and the control effectiveness of two isolates reached 65.57% and 68.61%,respectively.In conclusion,isolates Kv13‐2 and Ko15‐1 have good growth‐promoting effects,and have good application potential in practical production.

Key words: Salvia miltiorrhiza, Endophytic bacteria, Growth‐promoting effect, Indole‐3‐acetic acid, Disease prventi

摘要: 为筛选出对丹参生长具有促进作用并提高丹参产量的内生细菌,采用组织研磨培养法,从健康丹参根部分离筛选出2株具有促生作用的内生细菌Kv13-2和Ko15-1,结合形态学和分子生物学鉴定,将菌株Kv13-2和Ko15-1分别鉴定为变栖克雷伯氏菌(Klebsiella variicola)和水稻科萨克氏菌(Kosakonia oryzae)。促生物质检测结果表明,菌株Kv13-2和Ko15-1均可产吲哚乙酸(IAA),且具备溶磷、解钾、固氮特性。种子萌发试验结果表明,在合适浓度下,Kv13-2和Ko15-1菌悬液浸种可使丹参种子萌发率分别提高92.38%、129.72%,株高分别提高148.72%、48.72%,根长分别提高102.86%、90.02%。盆栽试验结果表明,灌根接种Kv13-2和Ko15-1菌株后,丹参茎叶鲜质量分别增加200.00%和104.48%,根鲜质量分别增加57.89%和34.74%。田间试验结果表明,2株促生菌菌悬液灌根施用2次后丹参根长分别增加18.03%、10.97%,根粗分别增加7.69%、0.74%,分根数分别增加11.17%、24.63%,产量分别增加16.43%、24.80%。此外,田间试验中2株促生菌还可显著降低丹参根腐病发病率和病情指数,对丹参根腐病的防效达到65.57%和68.61%。综上,菌株Kv13-2和Ko15-1促生效果显著,在实际生产中有较好的应用潜力。

关键词: 丹参, 内生细菌, 促生作用, 吲哚乙酸, 防腐效果

CLC Number: