Journal of Henan Agricultural Sciences ›› 2026, Vol. 55 ›› Issue (3): 49-60.DOI: 10.15933/j.cnki.1004-3268.2026.03.006

• Crop Cultivation & Genetic Breeding • Previous Articles     Next Articles

Effects of Plant Growth Regulators on Agronomic Traits and Tuberous Root Expansion of Rehmannia glutinosa

SU Ya’nan1,TIAN Bolin1,BI Guangyao2,YANG Fan1,DING Yining1,ZHOU Yan1,HUANG Yong1,LI Hemin1,QU Linyin3,XIA Zhi1   

  1. (1.College of Agronomy,Henan Agricultural University,Zhengzhou 450046,China;2.Department of Pharmaceutical Engineering,Hebei Chemical and Pharmaceutical Vocational and Technical College,Shijiazhuang 050035,China;3.Kaifeng City Park Service Center,Kaifeng 475099,China)
  • Received:2025-07-23 Accepted:2025-09-10 Published:2026-03-15 Online:2026-03-27

不同植物生长调节剂对怀地黄农艺性状和块根膨大的影响

苏亚楠1,田博林1,毕光耀2,杨帆1,丁怡宁1,周艳1,黄勇1,李贺敏1,瞿琳音3,夏至1
  

  1. (1. 河南农业大学 农学院,河南 郑州 450046;2. 河北化工医药职业技术学院 制药工程系,河北 石家庄 050035;3.开封市公园服务中心,河南 开封 475099)
  • 通讯作者: 瞿林音,高级工程师,本科,主要从事观赏园艺植物引种栽培学研究。E-mail:1278228582@gq.com 夏至,教授,博士,主要从事中药资源的分子鉴定及分子生药学研究。E-mail:xiazhiemail@126.com
  • 作者简介:苏亚楠,在读硕士研究生,研究方向:中药资源的分子鉴定。E-mail:syn425386891@163.com
  • 基金资助:
    国家自然科学基金面上项目(32570447,31770370);河南省科技攻关项目(222102110137);河南省高等学校重点科研项目计划(18A360006)

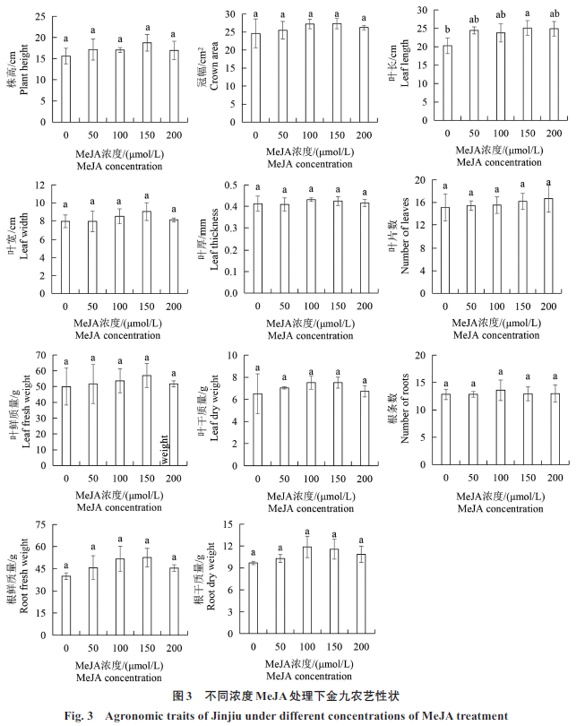
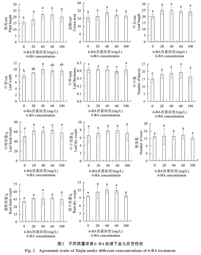
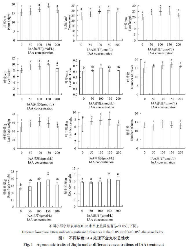
Abstract: To investigate the effects of different concentrations of plant growth regulators on the agronomic traits and tuberous root expansion of Rehmannia glutinosa,the cultivar Jinjiu was used as experimental material,with an equal amount of distilled water serving as the control(CK). Four types of plant growth regulators including auxin(IAA),cytokinin(6⁃BA),methyl jasmonate(MeJA),and gibberellin(GA3)were applied,each at four concentration gradients(IAA:50,100,150,200 μmol/L;6⁃BA:20,40,60,100 mg/L;MeJA:50,100,150,200 μmol/L;GA3:50,100,150,200 mg/L).The regulators were sprayed onto the plants at the initial stage of tuberous root expansion to examine their effects on the agronomic traits,root diameter,and cross⁃sectional area of Rehmannia glutinosa. The results showed that after treatment with the four plant growth regulators,the agronomic traits of Rehmannia glutinosa including plant height,canopy width,leaf length,leaf width,leaf thickness,number of leaves,leaf fresh weight,leaf dry weight,number of roots,root fresh weight,and root dry weight generally increased. Specifically,IAA at 100—150 μmol/L,6⁃BA at 40—60 mg/L,MeJA at 100—150 μmol/L,and GA3 at 150 mg/L significantly promoted the growth and development of the Rehmannia glutinosa cultivar Jinjiu.After spraying 150 μmol/L IAA,60 mg/L 6⁃BA,150 μmol/L MeJA,and 150 mg/L GA3 at the early swollen stage of Rehmannia glutinosa,paraffin sectioning results showed IAA,6⁃BA,and MeJA treatments significantly increased the diameter and cross⁃sectional area of the root tuber,with an increase of 117.60%,54.53%,and 42.16%,respectively for the diameter.The cross⁃sectional area of the root tuber increased by 380.14%,136.61%,and 95.54%,respectively.Among them,IAA treatment had the most significant effect,while GA3 treatment significantly reduced the diameter and cross⁃sectional area of the root tuber,with a decrease of 35.71% and 63.29%,respectively.In summary,plant growth regulators have significant regulatory effects on the growth and tuber enlargement of Rehmannia glutinosa,among them,treatments with IAA,6⁃BA,and MeJA significantly increased tuber diameter and cross⁃sectional area,thereby promoting tuber enlargement.GA3 exhibits a concentration dependence of low promotion and high inhibition,and its usage concentration needs to be strictly controlled.

Key words: Rehmannia glutinosa, Plant growth regulator, Agronomic trait, Tuberous root

摘要: 为探明不同浓度植物生长调节剂对怀地黄农艺性状与块根膨大的影响,以怀地黄栽培品种金九为材料,以等量清水为对照(CK),设置生长素(IAA)、细胞分裂素(6-BA)、茉莉酸甲酯(MeJA)和赤霉素(GA3)4种植物生长调节剂类型,各调节剂分别设4个浓度梯度(IAA为50、100、150、200 μmol/L,6-BA为20、40、60、100 mg/L,MeJA为50、100、150、200 μmol/L,GA3为50、100、150、200 mg/L),于怀地黄块根膨大初期对怀地黄植株进行喷施,探究其对怀地黄农艺性状、块根直径和横切面面积的影响。结果表明,4种植物生长调节剂处理后,怀地黄株高、冠幅、叶长、叶宽、叶厚、叶片数、叶鲜质量、叶干质量、根条数、根鲜质量和根干质量等农艺性状整体上均表现为增加,其中100~150 μmol/L的IAA、40~60 mg/L的6-BA、100~150 μmol/L的MeJA和150 mg/L的GA3对怀地黄栽培品种金九生长发育具有明显促进作用。选用150 μmol/L的IAA、60 mg/L的6-BA、150 μmol/L的MeJA和150 mg/L的GA3对膨大初期的怀地黄进行喷施处理后,石蜡切片结果显示,IAA、6-BA和MeJA处理后块根直径和块根横切面面积均显著增大,块根直径分别增加了117.60%、54.53% 和42.16%,块根横切面面积分别增加了380.14%、136.61% 和95.54%,其中IAA处理效果最为显著;GA3处理后块根直径和横切面面积显著降低,分别降低了35.71%和63.29%。综上,植物生长调节剂对怀地黄生长和块根膨大具有显著调控作用,其中IAA、6-BA 和MeJA处理可显著增大块根直径和横切面面积,促进块根膨大;GA3则呈现低促高抑的浓度依赖效应,需严格控制使用浓度。

关键词: 怀地黄, 植物生长调节剂, 农艺性状, 块根

CLC Number: